近日,跑得快玩法 李绥教授团队发表题为“Building envelopes for carbon storage: A design-driven approach to enhancing the performance of alkali-activated materials through a cavity”(建筑围护结构碳封存:通过腔体设计驱动碱激发材料性能提升的方法)的研究成果。该论文发表在国际建筑和土木工程领域学术期刊Construction and Building Materials上,该期刊系SCI检索期刊,JCR Q1,中科院一区,TOP期刊,最新影响因子为7.902,本研究获得国家自然科学基金项目(No. 52378027、No.52278453)的支持。跑得快玩法 为第一完成单位,李绥教授为第一作者及通讯作者,该成果与沈阳建筑大学唐宁教授、硕士研究生白艳兵、刘昊、邵信洋等合作完成。

研究聚焦于建筑碳中和领域建材碳封存方向,是建筑学与材料学的交叉研究成果,开创性地提出了一种建筑表皮设计驱动的碳增汇策略。利用建筑表皮腔体空间内形成的物理环境,提高内置碱激发材料(AAM)的固碳速率,兼顾建筑立面的美学价值、固碳性能与经济效益。
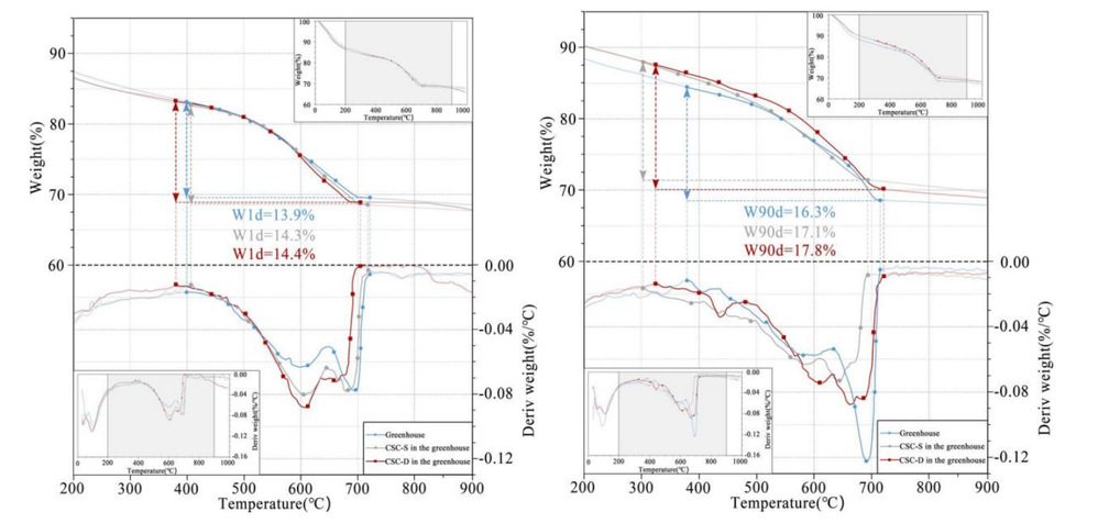
采用XRD、FTIR、BET与TGA等4种实验对多种工况下的AAM固碳效应进行了对比,确定了不同物理环境下AAM的单位固碳量,筛选出固碳效益最优的腔体结构设计方案,并对多种类型建筑的物理环境进行了进行适配性分析。研究结果表明:通过腔体表皮的优化设计,能够使AAM材料的固碳性能提高11.3%,尤其在寒地城市中具有巨大的碳汇潜力。建筑领域中性能材料的使用和设计优化能够为降低全球气候变化风险提供新的思路。

研究框架与技术路线

建筑表皮的腔体结构设计

温室环境内1天、90天TGA结果对比分析

具有固碳性能的腔体建筑表皮设计
全文链接://doi.org/10.1016/j.conbuildmat.2025.141238
李绥教授邮箱:[email protected]
欢迎对建筑碳中和领域感兴趣的同学加入研究团队!


